Pillole per il tecnico impiantista – I circuiti trifase per l’energia: generazione

circuiti trifase
Figura 1

I circuiti trifase trovano larga applicazione nel settore dei sistemi elettrici deputati alla produzione, al trasporto e alla distribuzione dell’energia elettrica. Infatti, questa viene prodotta in forma alternata sinusoidale da un sistema turbina-alternatore: macchina elettrica che trasforma l’energia meccanica fornita dalla turbina in energia elettrica sotto forma di tre tensioni aventi stessa ampiezza e frequenza ma sfasate tra loro di un terzo di periodo (figura 1).

Un sistema di tensioni siffatto si definisce simmetrico e ha la caratteristica che, fissato un istante generico tP, la somma delle tre tensioni è sempre uguale a 0 V:

L’alternatore può essere schematizzato come in figura 2, in cui esso è considerato equivalente a tre generatori collegati a stella.

circuiti trifase
Figura 2

Le tensioni v12, v23 e v31 prendono il nome di tensioni concatenate o tensioni di linea e sono disponibili tra ciascuna coppia di morsetti dell’alternatore (1, 2, 3) a cui vanno collegati gli omonimi conduttori. Anche esse, ovviamente, varieranno con legge sinusoidale e avranno stessa ampiezza e frequenza ma risulteranno sfasate tra loro di un terzo di periodo.

Le tensioni generate (e1, e2, e3), invece, sono rilevabili tra ciascun morsetto dell’alternatore e il centro stella o punto neutro (indicato con N): esse prendono il nome di tensioni di fase o tensioni stellate. Tali tensioni sono utilizzabili solo se la morsettiera dell’alternatore presenta il morsetto di neutro a cui collegare l’omonimo conduttore. In questo caso, quindi, le tensioni prelevabili dal circuito sono sei.

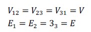
Ciò è fatto, normalmente, per alternatori di piccola/media potenza con cui si equipaggiano i gruppi elettrogeni per l’alimentazione ausiliaria. Trattandosi di tensioni variabili con legge alternata sinusoidale, come già visto, è possibile utilizzare i valori efficaci per individuare i valori in gioco:

circuiti trifase

In un sistema trifase simmetrico la tensione di linea è uguale alla tensione di fase moltiplicata per:

circuiti trifase

Nella pratica impiantistica di bassa tensione i valori efficaci della tensione offerti ai morsetti di un gruppo di misura trifase con neutro, che per l’utente utilizzatore costituisce il generatore, sono:

Se, invece, il gruppo di misura fosse puramente trifase, l’utente avrebbe disponibilità di prelevare solo le tensioni concatenate di valori:

V =400 V

Se, infine, il gruppo di misura fosse monofase, l’utente avrebbe disponibilità al prelievo solo della tensione stellata di valore:

E =230 V

LASCIA UN COMMENTO

Please enter your comment!
Please enter your name here