L’applicazione a un circuito di una tensione alternata sinusoidale provoca, per come essa è stata descritta, la circolazione di una corrente di intensità e verso variabili. Il legame fra tensione e corrente dipende dagli effetti della presenza dei diversi componenti.
Circuito puramente ohmico
Il circuito ohmico è un circuito composto solo da resistori. La tensione e la corrente ai capi del resistore – variabili entrambi nel tempo con legge alternata sinusoidale alla stessa frequenza del generatore – sono in fase: esse, cioè, presentano i punti caratteristici (passaggi per lo zero, massimo, minimo) nel medesimo istante. I valori efficaci delle ampiezze, invece, sono legati dalla Legge di Ohm:
dove R è la resistenza già incontrata in DC.
Circuito puramente induttivo
Il circuito induttivo è un circuito composto solo da induttori. La tensione e la corrente ai capi dell’induttore – variabili entrambi nel tempo con legge alternata sinusoidale alla stessa frequenza del generatore – sono sfasate di un quarto di periodo con la corrente in ritardo rispetto alla tensione: quando la corrente vale zero la tensione assume i valori massimi (positivo e negativo).
I valori efficaci delle ampiezze, invece, sono legati dalla Legge di Ohm:
dove XL prende il nome di reattanza induttiva, si misura in Ohm (Simbolo Ω) e dipende, oltre che dal valore dell’induttanza (L), anche dal valore della frequenza del generatore: più la frequenza è alta, più si fanno sentire gli effetti dell’induttore.
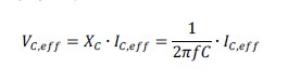
Circuito puramente capacitivo
Il circuito capacitivo è un circuito composto solo da capacitori. La tensione e la corrente ai capi del capacitore – variabili entrambi nel tempo con legge alternata sinusoidale alla stessa frequenza del generatore – sono sfasate di un quarto di periodo con la corrente in anticipo rispetto alla tensione: quando la tensione vale zero la corrente assume i valori massimi (positivo e negativo).
I valori efficaci delle ampiezze, invece, sono legati dalla Legge di Ohm:
dove XC prende il nome di reattanza capacitiva, si misura in Ohm e dipende, oltre che dal valore della capacità (C), anche dal valore della frequenza del generatore: più la frequenza è alta, meno si fanno sentire gli effetti del capacitore.
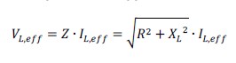
Circuito misto
Il circuito misto è un circuito composto da resistori, induttori e capacitori. Il comportamento globale del circuito dipenderà dalla parte reattiva prevalente (induttiva o capacitiva). Si potranno avere, quindi, due possibili casi: circuito ohmico-induttivo oppure circuito ohmico-capacitivo.
Supponendo – come accade sempre nella pratica impiantistica – che a prevalere sia la componente induttiva, la tensione e la corrente ai capi del bipolo ohmico-induttivo sono sfasate di una frazione di periodo con la corrente in ritardo rispetto alla tensione. I valori efficaci delle ampiezze, invece, sono legati dalla Legge di Ohm:
dove Z prende il nome di impedenza, si misura in Ohm ed è composta dalla resistenza (R) del circuito e dalla sua reattanza (XL).







